作者:程明,物理学博士。曾在《自然》和《物理评论通讯》(PRL)等世界顶尖学术杂志上发表过十余篇论文。这些论文被多本教科书引用,包括宾大著名教授Lubensky所著《凝聚态物理原理》。2016年诺贝尔物理奖获得者Kosterlitz教授在总结拓扑相变30年的文章中,第一页就提到了程明博士的论文,并认为这是开拓性的工作。程明博士曾在美国硅谷多家高科技公司工作,并著有《留美专家谈电子商务》(广东人民出版社,2000年)和《有机分子的电子晶体学》(Springer,2012,章节作者)。曾海归在武汉大学和南京大学任教,并担任研究生指导老师。


海森堡不确定性原理最初是海森堡作为一种假设和物理直觉提出的,用以解释量子现象中的基本不确定性。许多人以为它是量子力学的一个基本假设, 其实它可以在量子力学的框架中推出。随着量子力学理论的发展,科学家们能够通过数学推导对这一原理进行严格的证明。这展示了科学理论从观察、假设到理论和验证的完整过程。
利用波函数和算符的定义,以及波函数的波动性质,可以推导出位置和动量的对易关系(即
[ \hat{x}, \hat{p} ] = i\hbar)。再结合这些对易关系和薛定谔方程,可以证明海森堡不确定性原理。[ x ^ , p ^ ] = i ℏ 实际上,量子力学中关于波的描述(波函数)和算符的对易关系,可以通过数学推导直接得到不确定性原理。
量子力学的公理化
物理的公理化是希尔伯特第六问题,经典物理公理化已经完成。量子力学公理化还在建设。 一个问题是, 量子力学有哪些基本公理。
虽然海森堡不确定性原理在量子力学中起到了关键的指导作用,但本身不是一个公理,而且可以从薛定谔方程推出,所以量子力学有的基本公理里面。一般不提海森堡不确定性原理,而是将它作为作为理论体系中的一个重要推论。具体来说,
量子力学的基本公理
量子态:系统的状态由希尔伯特空间中的态向量表示,任何物理系统都对应一个态向量
\psi,描述系统的所有信息。ψ 可观测量:物理量由希尔伯特空间上的自伴算符表示,测量结果为其本征值。可观测量的平均值由态向量的内积给出。
测量过程:测量过程导致态的坍缩,测量结果的概率由态向量在该本征态上的投影模平方给出。
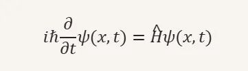
时间演化:量子态随时间的演化由薛定谔方程描述:

下面我们给出海森堡不确定性原理的具体的推导过程。
海森堡不确定性原理的数学证明
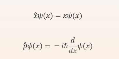
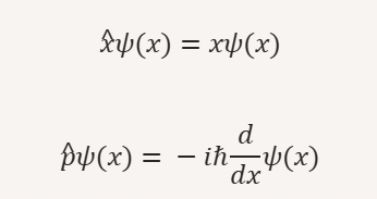
1. 波函数和算符

其中,
2. 算符的对易关系
位置算符和动量算符的对易关系为:

3. 算符的期望值

4. 不确定性

5. 证明不等式

结合位置和动量算符的对易关系

结 论

附录:
推导对易关系
1. 位置和动量算符的定义
在量子力学中,粒子的状态由波函数

其中,
2. 对易算符的定义



即

Schwarz 不等式
Schwarz 不等式的形式
对于任意两个向量


【参考资料】
《哥德尔定理与量子力学的完备性》,作者:程明博士。
十万个为什么 3.0 丛书 , 2024

发表评论